关于编写数学表达式
为了实现数学表达式的清晰传达,GitHub 支持 Markdown 中 LaTeX 格式的数学表达式。 有关详细信息,请参阅 Wikibook 中的 LaTeX/数学。
GitHub 的数学呈现功能使用 MathJax;真是一种基于 JavaScript 的开源显示引擎。 MathJax 支持广泛的 LaTeX 宏,以及几个有用的辅助功能扩展。 有关详细信息,请参阅 MathJax 文档和 MathJax 辅助功能扩展文档。
数学表达式可在以下项中呈现:GitHub Issues、GitHub Discussions、拉取请求、Wiki 和 Markdown 文件。
编写内联表达式
有两个选项可用于将内嵌在文本中的数学表达式分隔出来。 可以使用美元符号 ($) 将表达式括起来,或者以在表达式开头使用 $`,并在其末尾使用 `$。 当正在编写的表达式包含与 markdown 语法重叠的字符时,后一种语法很有用。 有关详细信息,请参阅“基本编写和格式设置语法”。
This sentence uses `$` delimiters to show math inline: $\sqrt{3x-1}+(1+x)^2$

This sentence uses $\` and \`$ delimiters to show math inline: $`\sqrt{3x-1}+(1+x)^2`$

将表达式编写为块
要以块的形式添加数学表达式,请启动一个新行,并使用两个美元符号 $$ 分隔表达式。
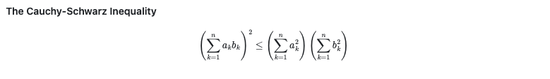
**The Cauchy-Schwarz Inequality**
$$\left( \sum_{k=1}^n a_k b_k \right)^2 \leq \left( \sum_{k=1}^n a_k^2 \right) \left( \sum_{k=1}^n b_k^2 \right)$$

或者,可以使用 ```math 代码块语法将数学表达式显示为块。 使用此语法时,无需使用 $$ 分隔符。 以下内容的呈现方式与上述内容相同:
**The Cauchy-Schwarz Inequality**
```math
\left( \sum_{k=1}^n a_k b_k \right)^2 \leq \left( \sum_{k=1}^n a_k^2 \right) \left( \sum_{k=1}^n b_k^2 \right)
```
在数学表达式所在的行中和数学表达式内编写美元符号
要在数学表达式所在的同一行中将美元符号显示为字符,需要对非分隔符 $ 进行转义以确保行正确呈现。
-
在数学表达式内,在显式
$之前添加一个\符号。This expression uses `\$` to display a dollar sign: $\sqrt{\$4}$
-
在数学表达式之外,但在同一行上,在显式
$两边使用 span 标记。To split <span>$</span>100 in half, we calculate $100/2$